13,14: Pisanje algoritama sa linijskom i sa razgranatom strukturom
Vežbanje pisanja algoritama i provera njihovog rada na računaru (u programu LARP) - na času se rade zadaci - naknadno će biti postavljeni slični zadaci u ovom fajlu .
Vodite računa da se veliki broj zadataka može rešiti na više načina. Ako možete, pokušajte da rešite zadatke na kraći način nego što je to ovde prikazano.
Primer 1: Ispisati na ekranu tekst: Dobro jutro radni narode!
Rešenje:
| Algoritam: | objašnjenje: | isti zadatak u programu LARP | |
![]() |
Na početku imamo blok za početak algoritma, jedino što se u algoritmu radi je ispis teksta. Znači imamo blok za izlaz podataka u kojem se nalazi tekst koji treba da napišemo. Napomena: tekst se UVEK piše sa " na početku i na kraju !!! |
![]() |
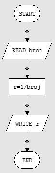
Primer 2: Učitati jedan broj i naći njegovu recipročnu vrednost.
| Algoritam: | Objašnjenje: | Isti zadatak urađen u programu LARP: | drugi način (sa postavljanjem pitanja): |
![]() |
Prvo imamo blok za početak algoritma.
U drugom bloku se vrši unos jednog broja koji se smešta u memoriju računara u promenjivu koju smo nazvali broj. U trećem bloku se vrši izračunavanje recipročne vrednosti unetog broja i smeštanje u promenjivu koju smo nazvali r. Da se podsetimo: recipročna vrednost nekog broje se dobija kada se broj 1 podeli sa tim brojem U četvrtom bloku se vrši ispis rezultata, tj naše promenljive r. 5. Poslednji blok označava kraj našeg algoritma. |
![]() |
![]() |
Primer 3: Učitati dva broja i na ekranu ispisati njihov proizvod.
.Rešenje:
| Algoritam: | objašnjenje: | isti zadatak u LARP-u: |
![]() |
Na početku je blok za početak algoritma. U sledećem bloku se unose ulazni podaci: koji se smeštaju u memoriju u promenjive koje smo nazvali A i B
U bloku pravougaonog oblika se izračunava proizvod onoga što se nalazi u A i B i to se smešta u memoriju u promenjivu koju smo nazvali P
U bloku za izlaz ispisujemo vrednost P
Na kraju imamo blok koji se označava kraj algoritma |
![]() |
Zapamtite: Prilikom rada programa na računaru, jasnije je za korisnika ako se pre unosa nekog broja npr na ekranu ispiše šta se od korisnika traži. Ako ne piše da treba da se unese neki broj, računar će čekati unos a korisnik će najverovatnije misliti da program ne radi.
Na kraju, ako se prvo napiše šta se izbacuje kao rezultat, a nakon toga i vrednost tog rezultata, svima je jasnije šta je program radio.
Primer 4: Izračunati zapreminu kocke
Rešenje:
| Algoritam: | Objašnjenje: | Isti zadatak u programu LARP: | drugi način: |
![]() |
1. blok za početak 2. unosimo stranicu kocke i smeštamo je u promenjivu a 3. Izračunava se zapremina kocke V = a * a * a ali može i na drugi način V = a^3 4. ispisuje se rezultat: zapremina V 5. Blok za kraj algoritma |
![]() |
![]() |
Primer 5: Naći manji od dva uneta broja.
Rešenje:
| Algoritam: | Objašnjenje: | Isti zadatak u programu LARP: |
![]() |
Na početku algoritma uvek ide blok za početak. Nakon toga se unose ulazni parametri. Zatim sledi provera da li je jedan od ulaza manji od drugog. Ako je uslov ispunjen onda je taj manji a ako nije onda je onaj drugi manji. Sledeći korak je da se manji prikaže na ekranu. I na kraju je blok koji označava kraj algoritma. |
![]() |
Primer 6: Naći najveći od tri uneta broja
| Algoritam | objašnjenje | isti zadatak u LARP-u | |
![]() |
1- blok za početak algoritma 2- unos 3 broja 3- uvodimo promenjivu MAKS i dodelimo joj vrednost prvog ulaznog podatka 4- provera da li je drugi ulazni podatak veći i ako jeste, MAKS će da dobije tu vrednost, a ako nije ne radi ništa 5- isto kao prethodni korak, ali za sledeću ulaznu vrednost 6- onda se ispisuje na ekran MAKS koliko god da je 7- blok za kraj algoritma |
![]() |
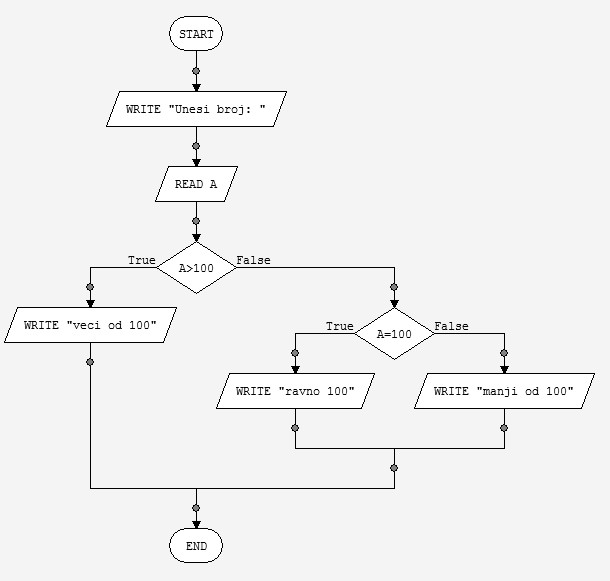
Primer 7: Uneti jedan broj i ispitati da li je veći od 100, manji od 100 ili jednak 100.
| algoritam | objašnjenje |
isti zadatak u LARP-u ali malo drukčije urađen |
![]() |
u ovom algoritmu bi trebalo da je sve jasno iz samog toka algoritma.
|
![]() |
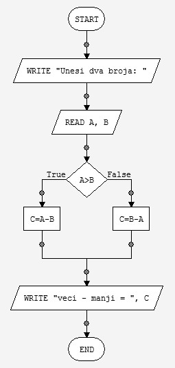
Primer 8: Uneti dva broja i od većeg oduzeti manji i dobijeni broj ispisati na ekranu.
| ALGORITAM | objašnjenje | zadatak u LARP-u |
![]() |
1- početak algoritma 2- unos dva broja 3- provera da li je prvi veći od drugog 4- ako je prethodni uslov ispunjen onda se od prvog oduzima drugi, a ako ualov nije ispunjen, onda se od drugog oduzima prvi Na kraju se reziltat prikazuje na ekranu i završetak algoritma sa blokom za kraj algoritma |
![]() |
Primer 9: Izračunati koliko je y prema sledećem izrazu:

Rešenje:
| Algoritam | objašnjenje | Isto u LARP-u |
![]() |
Ovaj način pisanja često u praksi nazivaju "pešačka metoda", zato što se ispituje uslov po uslov: prvo ispitujemo da li je x manje od 5 pa ako jeste onda se vrši zadato računanje, a ako nije ide se na sledeći korak. U sledećem koraku se ispituje da li je x jednako 5 pa ako jeste vrši se računanje, a ako nije prelazi se na sledeći korak U sledećem koraku se ispituje da li je x veće od 5 pa ako jeste vrši se zadato računanje a ako nije ide se na sledeći korak Na kraju se vrši ispis na ekranu. I kao poslednji blok ne treba zaboraviti blok za završetak algoritma.
|
![]() |
Za ovaj zadatak postoji više različitih rešenja algoritma pa je u nastavku dato i još jedno rešenje:
| algoritam | objašnjenje | kako je urađeno u LARP-u |
![]() |
U ovom slučaju se prvo ispituje da li je x manji od 5, pa ako jeste radi se zadato računanje i u tom slučaju se neće izvršiti ostale prover. Međutim, ako nije, vrši se provera da li je veće od 5 i na osnovu toga se ide dalje...
Možete videti da ako želite da više stvari prikažete na ekranu u istom redu. samo ih treba razdvojiti zarezom |
![]() |





















