Osnovne algoritamske strukture

Algoritam sa prostom linijskom strukturom

- linijska struktura koja se dobija kaskadnim povezivanjem blokova obrade.

Osnovna osobina linijskih algoritamskih struktura je da pri jednom izvršavanju algoritma dolazi samo do jednog izvršavanja svakog algoritamskog koraka. Standardni blok dijagram proste linijske strukture prikazan je na sledećoj slici:


linijski algoritam
Prostu linijsku strukturu imaju algoritmi kod kojih se izvršavaju svi algoritamski koraci od bloka 1 do bloka n. To znači da je redosled algoritamskih koraka unapred definisan i ne može biti menjan u toku rada algoritma. Algoritamski koraci se izvršavaju redom, jedan za drugim. Algoritamski korak Ai, i=2,...,n ne može da otpočne sa izvršenjem dok se korak Ai-1 ne završi

Algoritam sa razgranatom strukturom

- Omogućava uslovno izvršenje niza algoritamskih koraka

Kod prostih linijskih struktura prelazak na sledeći korak ne zavisi od rezultata obrade u ma kom algoritamskom koraku. Međutim, u praksi tok računanja najčešće zavisi od međurezultata dobijenih u toku računanja ili od konkretnih vrednosti polaznih podataka. To znači da u algoritmima mora postojati algoritamski korak u kojem se donosi odluka o daljem toku računskog procesa tj. o prenošenju upravljanja na jedan ili drugi algoritamski korak, a to su blokovi za selekciju (blokovi sa razgranatom linijskom strukturom).

Selekcije imaju za cilj da ispitaju ispunjenost nekog uslova i da u zavisnosti od rezultata ovog ispitivanja odaberu za izvršavanje jednu od dve a ponekad jednu od više algoritamskih blokova.


uslovni izrazuslovni izrazi

Najpre se izračunava uslov od čije vrednosti (tačno ili netačno) zavisi dalji tok izvođenja algortma. Jedan izlaz iz uslovnog algoritamskog koraka prenosi upravljanje S1 u slučaju da je uslov zadovoljen. Drugi izlaz prenosi upravljanje na  S2 u slučaju da uslov nije zadovoljen.

Ovo znači da se pri jednom izvršavanju algoritma sa razgranatom linijskom strukturom nikad ne izvršavaju obe strukture S1 i S2 već se (zavisno od početnih podataka i međurezultata, tj. od ispunjenosti uslova) izvršava samo jedna od njih. Kod algoritma sa razgranatom strukturom svaki algoritamski korak se izvršava najviše jednom, pri čemu se ne moraju izvršavati svi algoritamski koraci u toku jednog izvršenja algoritma.

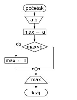
Primer1:
Nacrtati dijagram toka algoritama kojim se određuje veći od dva zadata broja korišćenjem formule
d

algoritam br 1algoritam br 2

Algoritam sa cikličnom strukturom – petlje ili ciklusi

- Omogućava da se algoritamski koraci ponavljaju više puta.

 

Opšta karakteristika cikličnih algoritamskih struktura jeste višestruko izvršavanje jednog ili više algoritamskih koraka pri jednom izvršavanju algoritma. Instrukcije ciklusa omogućavaju da se određena grupa instrukcija  ponavlja dok se ne ispuni uslov za prekid ponavljanja. Ciklična struktura zove se još i petlja, a uslov za izlazak iz ciklusa zove se izlazni kriterijum. Izlazni kriterijum je najčešće ili broj izvršenih ciklusa ili dostignuta tačnost u računanju.


petlja sa uslovom na pocetku petlja sa uslovom na krajubrojacka petlja

Last modified: Wednesday, 3 October 2018, 9:17 PM