Primer_7

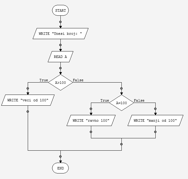
Zadatak: Uneti jedan broj i ispitati da li je veći od 100, manji od 100 ili jednak 100.

Algoritam:

u ovom algoritmu bi trebalo da je sve jasno iz samog toka algoritma.

Kako smo to uradili u progranu LARP, ali na malo drugačiji način: