Primer_2

Zadatak: Učitati jedan broj i naći njegovu recipročnu vrednost.

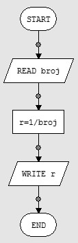
Algoritam:

Objašnjenje:

1. Prvo imamo blok za početak algoritma.

2. U drugom bloku se vrši unos jednog broja koji se smešta u memoriju računara u promenjivu koju smo nazvali broj.

3. U trećem bloku se vrši izračunavanje recipročne vrednosti unetog broja i smeštanje u promenjivu koju smo nazvali r.

Da se podsetimo: recipročna vrednost nekog broje se dobija kada se broj 1 podeli sa tim brojem

4. U četvrtom bloku se vrši ispis rezultata, tj naše promenljive r.

5. Poslednji blok označava kraj našeg algoritma.

Isti zadatak urađen u programu LARP:

drugi način (sa postavljanjem pitanja):

Objašnjenje:

Prilikom rada programa na računaru, jasnije je za korisnika ako se pre unosa nekog broja npr na ekranu ispiše šta se od korisnika traži. Ako ne piše da treba da se unese neki broj, računar će čekati unos a korisnik će najverovatnije misliti da program ne radi.

Na kraju, ako se prvo napiše šta se izbacuje kao rezultat, a nakon toga i vrednost tog rezultata, svima je jasnije šta je program radio.